Rules for Building and Classing Marine Vessels - Notices and General Information (07-2025) 船舶建造和入级规范-总要求和注意事项
船级社规范(含中国海事局) / ABS 美国船级社
145阅读2021-11-23
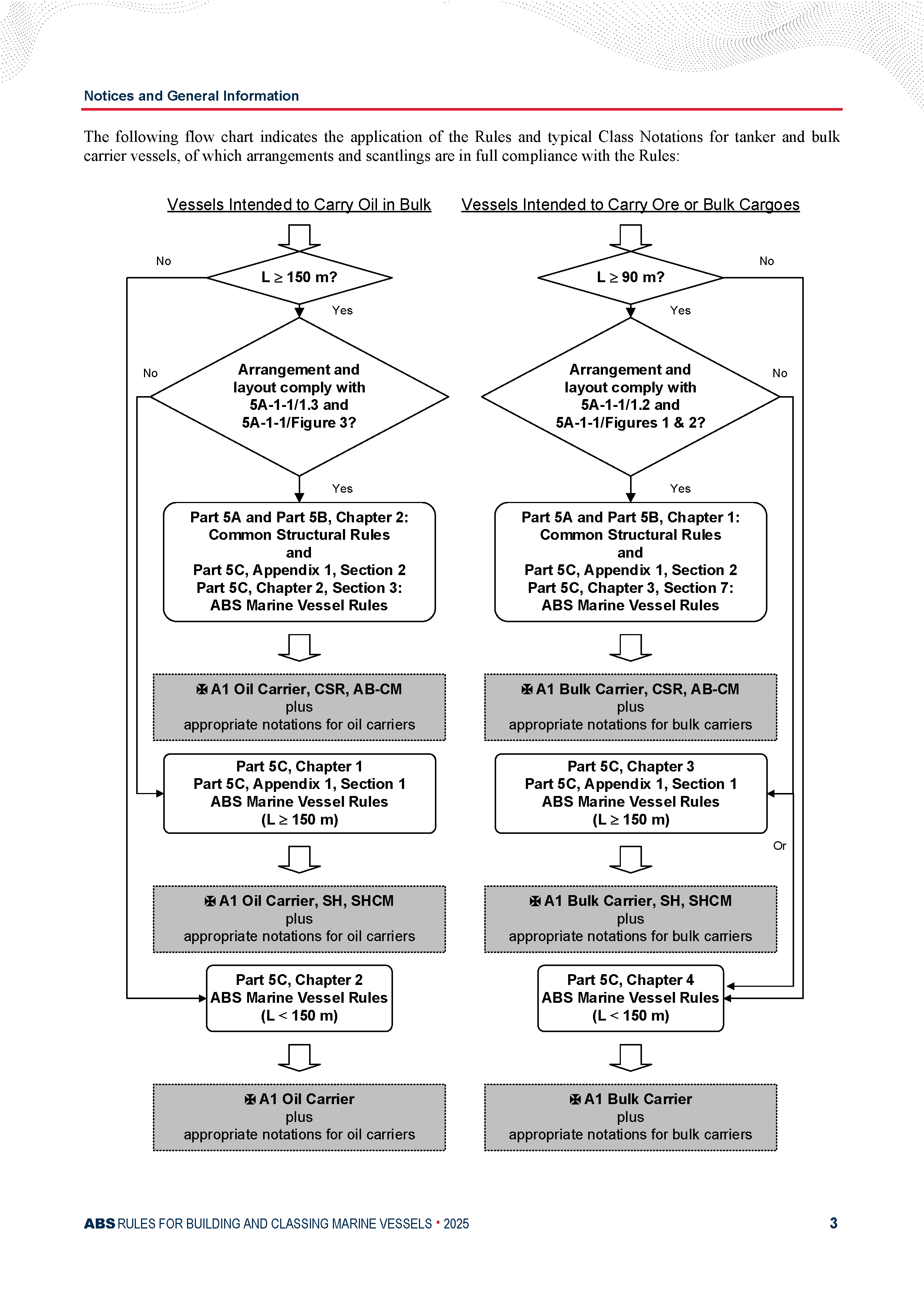
Rules for Building and Classing Marine Vessels - Notices and General Information (07-2025)
船舶建造和入级规范-总要求和注意事项












